Using a method developed by Gamelin Lab at UW in 2003 to study magnetic quantum dots, we synthesize Co-doped ZnO nanoparticles with varying Co atomic % inside ZnO nanoparticles.
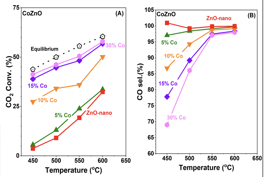
Results: The Co-doped ZnO shows tunable catalytic activity for the reverse water gas shift reaction. As conversion efficiency increases, selectivity decreases.
Significance: Mapping catalytic activity of Co-doped ZnO develops a new nanostructured catalyst support system which is atomically engineered with dopants.
Outlook: Further addition of precious metal atoms to the surfaces of optimally doped ZnO nanoparticles will create complex nanostructured catalysts with potential for high conversion efficiency and selectivity.
Luis Tomar: Sophomore from UCF participated in the REU program of MEMC, University of Washington for the Summer of 2022. Luis learned about nanoparticle synthesis, specifically Co-doped ZnO using solution-based techniques. He presented his findings at numerous conferences, including AVS ’68 Pittsburgh.
Izabela Barros: M.S. in Materials Science and Engineering and High School AP Chemistry teacher in Miami-Dade County. Ms. Barros translated the process from Luis (at the University of Washington) to the Banerjee Lab at UCF. Using video and Zoom® calls, she developed a protocol for nanoparticle synthesis in the Banerjee Lab. After interning in the Banerjee Lab for the Summer of 2022, Ms. Barros obtained a full-time position with Lockheed Martin Corporation in Orlando, as a Process Engineer.


PREM Center for Ultrafast Dynamics and Catalysis in Emerging Materials (C-UDCEM)
The PREM Center for Ultrafast Dynamics and Catalysis in Emerging Materials (C-UDCEM) at UCF is an NSF funded Partnerships for Research and Education in Materials (PREM) seed Center.